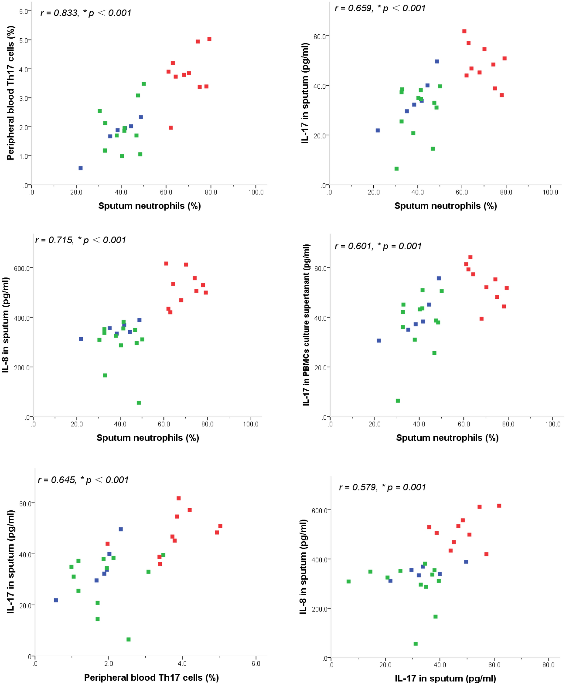
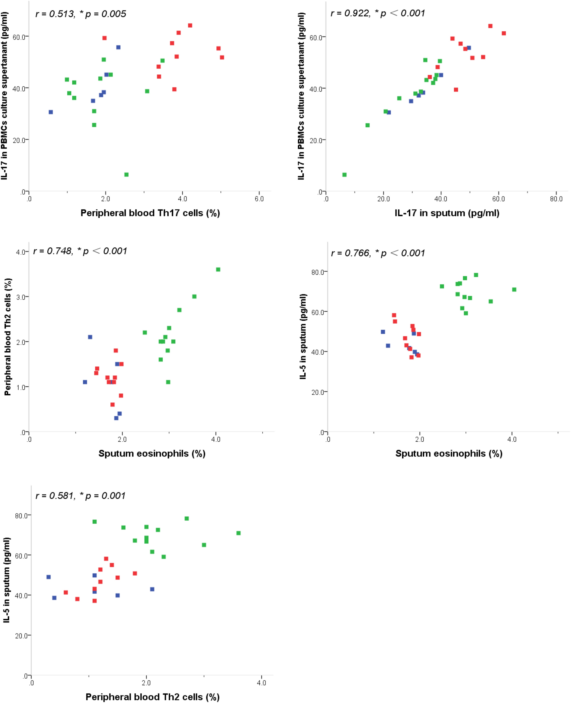
Fig. 5
From: Relationship between Th17-mediated immunity and airway inflammation in childhood neutrophilic asthma


Correlations between sputum inflammatory cells and levels of peripheral blood Th17, Th2 cells and cytokine productions in sputum and in culture supernatants of activated PBMCs from asthmatics and healthy controls. r = Pearson’s correlation coefficients. *p < 0.01. PGA blue square, EA green square, NA red square